科技服务
宏基因组测序
宏基因组测序的生信分析首先对测序原始数据进行质控及宿主过滤,得到有效数据。然后基于有效数据进行宏基因组组装。接下来从单样品组装结果出发,进行基因预测,并将各样品预测产生的基因放在一起,去冗余后构建基因列表。以基因列表为基础,进行物种和功能方面的注释,从而开展物种水平分析、功能水平分析、物种与功能对应关系分析等下游分析。
宏基因组测序的生信分析在meta扩增子测序对于物种多样性分析的基础上,进一步地进行环境样本基因与功能层面的深入研究。
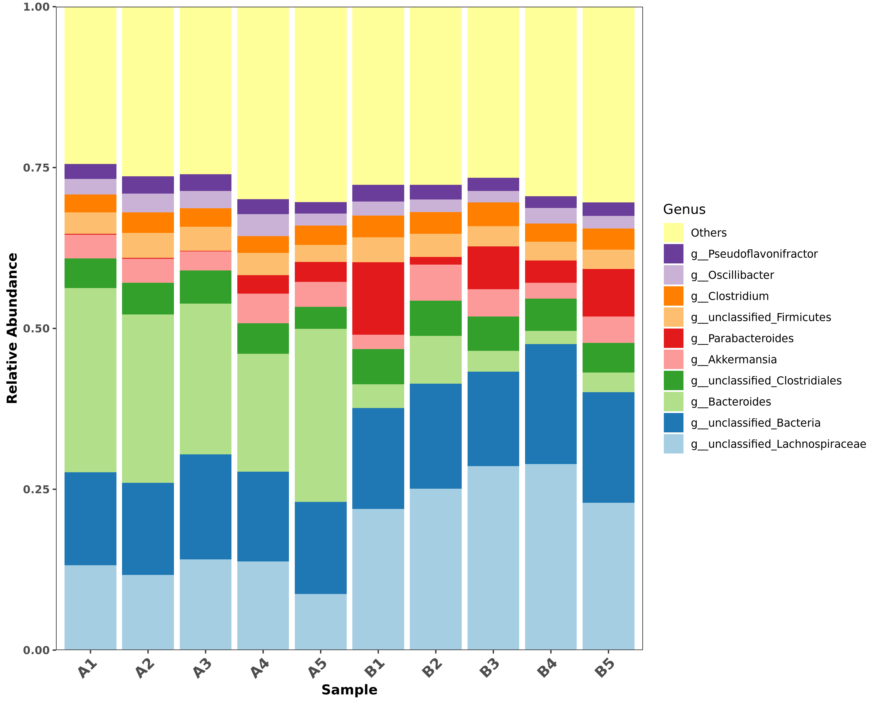
物种丰度分析
物种注释,根据物种注释结果和非冗余基因定量结果,计算各个样品在各个分类层级(界Kingdom、门Phylum、纲Class、目Order、科Family、属Genus、种Species)上的绝对(Absolute)和相对(Relative)丰度信息度,从而构建相应分类学水平上的丰度谱(Abundance profile)。
物种丰度分析
组间功能差异分析
了研究组间具有显著性差异的功能,从不同层级的功能相对丰度表出发,利用 Metastats 方法筛选具有显著性差异的功能,然后绘制箱形图,箱形图可直观清晰的展示差异功能在组间的丰度分布。
组间功能差异分析
代谢通路分析
通过KEGG基因功能注释,分析各样品中与关键功能相关的代谢通路中基因的分布情况,及其丰度情况,比较不同分组间关键代谢通路的差异。从功能基因及代谢通路的层面来说明对照样品的关键物质代谢路线及含量差异的原因。
代谢通路分析
抗性基因分析
通过CARD数据库的注释,可以找到抗生素抗性基因、以及作用机制等信息,抗性基因Overview圈图可以从整体上观察各样品中抗性基因丰度占比,更加直观的展示各抗性基因丰度的整体分布情况。
抗性基因分析
广科安德可提供单细胞/空间组、基因组、表观组、微生物组、蛋白质组、代谢组等多组学测序和生物信息学分析服务,从基础研究、转化研究到临床应用提供全方位科研技术服务及解决方案欢迎免费咨询,了解更多详细信息!我们的技术专员可免费为您提供业务评估。
服务流程
告诉我们您的需求
广科提供解决方案
签订合同并寄送样品
一站式个性化服务
欢迎联系我们
邮箱:service@cwmda.com
电话:0571-83693553